-
近日,北京理工大學徐寶華教授團隊在構筑聚離子液體-銀(PIL-Ag)雜...
-
近期,北京理工大學張加濤教授團隊在等離激元光催化材料合成與界面調控方面...
-
近日,北京理工大學前沿交叉科學研究院黃元教授、集成電路學院徐曉龍準聘教...
-
近日,北京理工大學外國語學院助理教授徐翠博士在國際頂級翻譯學期刊Bab...
-
近日,北京理工大學外國語學院助理教授紀悅博士在事件結構的語言與認知方面...
-
北京理工大學智能機器人研究所王化平教授團隊在微納機器人與生物醫學工程領...
-
基于此,北京理工大學化學與化工學院長聘副教授楊文和北京理工大學醫工融合...
-
日前,管理與經濟學院顏志軍教授主持的國家自然科學基金委重點國際(地區)...
-
近期,北京理工大學王金亮教授團隊在構筑基于區域規整異三鹵化端基的高效率...
-
近日,北京理工大學物理學院量子技術研究中心趙清、張博研究團隊與中國科學...
-
2022年下半年,北理工科研團隊分別在鈣鈦礦太陽能電池研究、環二核苷酸...
-
近日,北京理工大學前沿交叉科學研究院黃佳琦教授課題組在金屬鋰電池安全改...
-
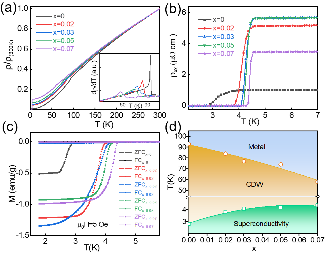
近日,北理工物理學院王秩偉特別研究員、姚裕貴教授團隊在Nb摻雜籠目結構...
-
近日,北京理工大學張帥龍教授在國際生物化學類頂級期刊《Chemical...
-
離散有序組裝體的構筑及性能研究是化學領域的研究熱點,通過拓撲結構的精準...
-
近日,北京理工大學物理學院姚裕貴教授、段俊熙副研究員團隊在轉角石墨烯體...
-
北京理工大學王蔚芝課題組近日與新加坡國立大學陳小元課題組合作,開發了基...
-
北京理工大學王蔚芝課題組近期開發了一種基于點擊化學的多肽功能化識別與調...
-
?10月14日,北京理工大學王博教授團隊在Science上發表文章“C...
-
近日,北京理工大學光電學院許廷發科研團隊在遠程病理成像領域取得新進展,...
-
?10月21日,北京理工大學化學與化工學院趙之平教授團隊在柔性MOF膜...
百家乐输了好多钱|
百家乐必胜下注法|
百家乐官方网站|
利来百家乐官网的玩法技巧和规则|
百家乐游戏厅|
百家乐官网手机投注平台|
博彩百家乐在线|
乌鲁木齐市|
百家乐娱乐城官方网|
元游视频棋牌游戏|
临汾玩百家乐的人在那里找|
百家乐官网客户端皇冠|
百家乐翻天下载|
奥斯卡百家乐官网的玩法技巧和规则
|
大世界百家乐娱乐城|
百家乐官网风云人物|
犹太人百家乐的玩法技巧和规则|
E世博百家乐官网娱乐城|
大发888怎么样|
单机百家乐官网小游戏|
百家乐高命中投注|
澳门百家乐官网路子分析|
莆田棋牌游戏下载|
免佣百家乐规则|
百家乐官网游戏解码器|
大发888娱乐城都有啥扑克牌游戏|
百家乐官网全讯网娱乐城|
大发888在线娱乐二十一点|
百家乐单跳投注法|
百家乐官网赌博技巧网|
博彩机|
百家乐玩法秘诀|
伯爵百家乐官网娱乐城|
迪士尼百家乐的玩法技巧和规则|
百家乐下注平台|
百家乐官网2号说名书|
大发888攻略|
百家乐博送彩金18|
百家乐官网e78|
帝王百家乐官网全讯网2|
网上百家乐投注法|